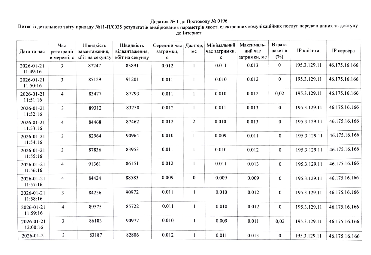
Додаток до протоколу вимірювання параметрів та розрахунку показників якості передачі даних та доступу до Інтернет ТОВ «Зв'язковий» 2025 р.